Bạn đã bao giờ tự hỏi ký hiệu S là gì trong Hóa học chưa? Cùng mình tìm hiểu kỹ hơn về nguyên tố lưu huỳnh (ký hiệu là S) qua bài viết này nhé!
S là gì trong Hóa học?
S là ký hiệu của lưu huỳnh, một nguyên tố trong bảng tuần hoàn hoá học và có số nguyên tử là 16.

Đây là một nguyên tố phi kim phổ biến, không mùi, không vị và có nhiều hoá trị.
Dạng gốc của phi kim này là chất rắn kết tinh có màu vàng chanh.
Trong tự nhiên, phi kim này có thể tìm thấy dưới dạng đơn chất hoặc trong các khoáng chất sulfua và sulfat.
Lưu huỳnh còn được xem là nguyên tố thiết yếu cho sự sống và được tìm thấy trong hai axit amin.
Trong thương mại, chúng được sử dụng trong phân bón hoặc dùng làm thuốc súng, diêm, thuốc trừ sâu và thuốc diệt nấm,..

Nguyên tố lưu huỳnh trong bảng tuần hoàn hóa học:
- Phân loại: Phi kim
- Màu sắc: Vàng chanh
- Trạng thái vật chất: Chất rắn
- Vị trí: Chu kì 3, nhóm VIA
- Số nguyên tử (Z): 16
- Nguyên tử khối (ma): 32,065
- Cấu hình electron: 1s22s22p63s23p4 với 6 e lớp ngoài cùng
- Nhiệt độ nóng chảy: 115,21 °C (239,38 °F)
- Nhiệt độ sôi: 444,6 °C (832,3 °F)
- Mật độ:
- alpha: 2,07 g/cm3 (ở 0 °C, 101.325 kPa)
- beta: 1,96 g/cm3
- gamma: 1,92 g/cm3
- Mật độ ở thể lỏng (ở nhiệt độ nóng chảy): 1,819 g/cm3
- Độ âm điện: 2,58
Lịch sử hình thành lưu huỳnh

Lưu huỳnh có tên tiếng Phạn là sulvere, tiếng Latinh là sulpur, hay còn được gọi là lưu hoàng, sinh diêm vàng và diêm sinh.
Trong tiếng Ả Rập sufra nghĩa là màu vàng, có từ màu vàng dạng tự nhiên của lưu huỳnh. Cái tên đấy được cho rằng để chỉ lưu huỳnh trong ngôn ngữ của một số quốc gia châu Âu hiện nay.
Homer đã đề cập tới việc “lưu huỳnh ngăn ngừa các loài phá hoại” từ thế kỷ 9 TCN. Đến năm 424 TCN thì bộ tộc ở Boeotia đã tiêu hủy các bức tường của thành phố bằng cách đốt hỗn hợp than, lưu huỳnh và hắc ín bên dưới chân tường.
Vào khoảng thế kỷ 12, Trung Quốc đã phát minh ra thuốc súng, là hỗn hợp của nitrat kali (KNO3), cacbon và lưu huỳnh.
Năm 1867, lưu huỳnh được phát hiện trong các mỏ khai thác ở Louisiana và Texas.
Lưu huỳnh có ở đâu?

Trong tự nhiên, có thể tìm thấy phi kim này ở dạng đơn chất hay trong các khoáng chất sulfua và sulfat.
Lưu huỳnh có mùi như mùi trứng ung, thực chất mùi này là do mùi đặc trưng của sulfua hiđrô (H2S).
Phi kim dạng đơn chất này được tìm thấy ở gần các suối nước nóng và các khu vực núi lửa tại nhiều nơi trên thế giới, nhất là là dọc theo vành đai lửa Thái Bình Dương.
Các mỏ lớn của lưu huỳnh đơn chất cũng tồn tại trong các mỏ muối dọc theo bờ biển thuộc vịnh Mexico và trong các mỏ evaporit ở Đông Âu, Tây Á.
Lưu huỳnh thu được từ khai thác dầu mỏ, khí đốt và cát dầu Athabasca đã trở thành nguồn cung cấp lớn trên thị trường, với các kho dự trữ lớn dọc Alberta.
Những hợp chất chứa lưu huỳnh có nguồn gốc tự nhiên phổ biến nhất là các sulfua kim loại như pyrit (sulfua sắt), cinnabar hay chu sa (sulfua thủy ngân), galen (sulfua chì), sphalerit (sulfua kẽm) và stibnit (sulfua antimon) cũng như những sulfat kim loại như thạch cao (sulfat canxi), alunit (sulfat nhôm kali) và barit (sulfat bari).
Đặc điểm nổi bật của nguyên tố lưu huỳnh

Lưu huỳnh ở điều kiện nhiệt độ phòng có trạng thái rắn xốp, có màu vàng nhạt và ở trạng thái đơn chất không có mùi.
Lưu huỳnh khi cháy có ngọn lửa màu xanh lam và toả ra đioxit lưu huỳnh có mùi ngột ngạt, tạo cảm giác khó chịu.
Phi kim này không bị hòa tan trong nước nhưng hòa tan trong đisulfua cacbon và các dung môi không phân cực khác.
Các trạng thái ôxi hóa phổ biến của lưu huỳnh là -2, -1(pirit sắt…), +2, +4 và +6.
Lưu huỳnh tạo thành các hợp chất ổn định với gần như mọi nguyên tố hóa học, ngoại trừ các khí trơ.
Trong điều kiện trạng thái rắn, lưu huỳnh tồn tại như các phân tử vòng dạng vòng hoa S8, bên cạnh đó nó cũng có nhiều hình thù khác.
Màu vàng đặc trưng của nguyên tố lưu huỳnh được tạo nên từ việc loại một nguyên tử từ vòng S7.
Ngược lại, nguyên tố oxy có cùng phân nhóm nhưng lại nhẹ hơn. Về cơ bản, oxy chỉ tổn tại trong 2 dạng là O2 và O3

Lưu huỳnh có tinh thể rất phức tạp, phụ thuộc vào các điều kiện cụ thể, các hình thù của chúng tạo thành các cấu trúc tinh thể khác nhau, các dạng hình thoi và dạng xiên đơn S8 là các dạng được nghiên cứu tỉ mỉ nhất.
Nguyên tố lưu huỳnh nóng chảy có độ nhớt, đây cũng là tính chất nổi bật của phi kim này.
Độ nhớt này tăng lên theo nhiệt độ do có sự hình thành các chuỗi polyme.
Tuy nhiên, sau khi đã đạt được một khoảng nhiệt độ nhất định thì độ nhớt sẽ bị giảm do đã đủ năng lượng để phá vỡ chuỗi polymer.
Lưu huỳnh vô định hình, hay còn gọi là lưu huỳnh “dẻo”, có thể tạo ra khi làm nguội nhanh lưu huỳnh nóng chảy.
Theo nghiên cứu tinh thể lưu huỳnh bằng tia X, dạng vô định hình có thể có cấu trúc xoắn ốc với 8 nguyên tử trên cùng một vòng.
Đây là dạng cấu trúc ổn định ở nhiệt độ phòng và dần chuyển thành dạng kết tinh.
Quá trình này diễn ra trong vài giờ hoặc vài ngày nhưng có thể tăng tốc nếu có chất xúc tác.

Hai dạng thù hình của lưu huỳnh
Nguyên tố lưu huỳnh có hai dạng thù hình là lưu huỳnh tà phương Sα và lưu huỳnh đơn tà Sβ.
Hai dạng thù hình này của lưu huỳnh khác nhau về cấu tạo tinh thể và một số tính chất vật lí, tuy nhiên lại mang tính chất hóa học giống nhau.
Hai dạng thù hình Sα và Sβ này có thể biến đổi qua lại lẫn nhau tùy theo điều kiện nhiệt độ.
Hay theo dõi bảng dưới đây để hiểu chi tiết về sự biến đổi qua lại này:

Nhiệt độ ảnh hướng thế nào đến tính chất vật lý của lưu huỳnh?
Tính chất vật lý của lưu huỳnh biến đổi rõ rệt khi nhiệt độ thay đổi, cụ thể là:
- Ở nhiệt độ dưới 113 độ: Lưu huỳnh Sα và Sβ đều là chất rắn màu vàng. Trong phân tử có 8 nguyên tử liên kết cộng hóa trị với nhau tạo thành mạch vòng.
- Ở nhiệt độ 119 độ: Sα và Sβ nóng chảy tạo thành chất lỏng màu vàng và rất linh động.
- Ở nhiệt độ 187 độ: Lưu huỳnh ở trạng thái lỏng, quánh nhớt và có màu nâu đỏ.
- Ở nhiệt độ 445 độ: Lưu huỳnh sôi, các phân tử lưu huỳnh bị phá vỡ thành nhiều phân tử nhỏ và bay hơi.
Ví dụ: 1400 độ C, hơi lưu huỳnh là những phân tử S2, nhưng ở 1700 độ C thì lưu huỳnh là những nguyên tử S.
Lưu huỳnh có tính chất hoá học như thế nào?

Nguyên tử lưu huỳnh có 6e lớp ngoài cùng và trong đó có 2e độc thân.
Trong phản ứng hoá học thì số oxi hóa của lưu huỳnh có thể giảm hoặc tăng: −2; 0; +4; +6.
Tính oxi hoá
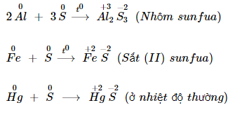
Khi tác dụng với các kim loại hoặc hidro, số oxi hoá của lưu huỳnh giảm từ 0 xuống -2.
Khi tác dụng với kim loại: Lưu huỳnh tác tụng với kim loại tạo thành muối Sunfua.
Khi tác dụng với hydro: Phản ứng tạo thành khí hiđro sunfua.
Tính khử
Lưu huỳnh tác dụng với những phi kim hoạt động mạnh hơn, số oxi hoá tăng lên từ 0 lên +4 hoặc +6.

Lưu huỳnh phản ứng với phi kim khi ở nhiệt độ phù hợp.

Phi kim này tác dụng với những chất oxi hoá mạnh.


Cách sản xuất lưu huỳnh
Lưu huỳnh được sản xuất theo 2 phương pháp chủ yếu sau:
Phương pháp vật lý:
- Khai thác lưu huỳnh dưới dạng tự do bên dưới lòng đất.
- Sử dụng hệ thống nén nước siêu nóng (170 oC) cho vào mỏ lưu huỳnh để đẩy lưu huỳnh nóng chảy lên khỏi mặt đất.

Phương pháp hoá học:
- Đốt hợp chất H2S trong điều kiện thiếu không khí.
![]()
- Dùng H2S khử SO2.
![]()
Ứng dụng lưu huỳnh trong công nghiệp và đời sống
Lưu huỳnh là nguyên tố liên quan đến nhiều lĩnh vực đời sống thực tiễn, góp phần vai trò quan trọng trong nền kinh tế thế giới.

Ứng dụng của lưu huỳnh trong công nghiệp
Trong công nghiệp, 90% lượng lưu huỳnh được khai thác qua dẫn xuất chính là axít sulfuric (H2SO4).
Đây được đánh giá là một trong những nguyên tố quan trọng nhất được sử dụng như một nguyên liệu công nghiệp.
Ngày nay, tiêu thụ acid sulfuric còn được coi là một trong các chỉ số tốt nhất về sự phát triển công nghiệp của một quốc gia.
Đặc biệt, lưu huỳnh được sản xuất ở Mỹ hàng năm nhiều hơn bất kỳ hóa chất công nghiệp nào khác.

Lưu huỳnh đã được sử dụng trong nhiều sản phẩm công nghiệp, ví dụ: Ắc quy, bột giặt, lưu hóa cao su, thuốc diệt nấm và các phân bón photphat.
Cụ thể, lưu huỳnh được dùng để tạo nên độ trắng của giấy, làm chất bảo quản trong rượu vang và làm khô hoa quả.
Do tính chất dễ cháy, lưu huỳnh còn được ứng dụng trong việc sản xuất các loại diêm, thuốc súng, thuốc nổ cũng như pháo hoa.
Ứng dụng lưu huỳnh trong làm đẹp
Từ xa xưa, con người ta đã biết ứng dụng lưu huỳnh trong việc làm đẹp da và trị mụn trứng cá.
Tuy nhiên, hiện vẫn chưa có nghiên cứu rõ ràng nào tìm ra cách hoạt động của nguyên tố này trong việc điều trị mụn.
Qua thực nghiệm, người ta rút ra kết luận: Lưu huỳnh có khả năng kháng viêm và kháng khuẩn cao, từ đó có khả năng khiến những nốt mụn xẹp đi nhanh chóng.

Ứng dụng lưu huỳnh trong nông nghiệp
Bên cạnh những ứng dụng quan trọng nhất của ngành công nghiệp, trong lĩnh vực nông nghiệp, lưu huỳnh cũng được xem là một trong những nguyên liệu để chế tạo phân bón hóa học, thuốc trừ sâu, thuốc diệt nấm.
Ứng dụng lưu huỳnh trong y học
Lưu huỳnh cũng có vai trò của mình trong y học.
Magnesi sulfat được sử dụng như một loại thuốc nhuận tràng và điều trị các bệnh liên quan đến rối loạn về da với khả năng kháng viêm, kháng khuẩn cao.
Ví dụ: Kem, sữa dưỡng da hoặc xà phòng lưu huỳnh dùng điều trị mụn trứng cá, thuốc mỡ lưu huỳnh dùng để điều trị viêm da tiết bã, ghẻ.
Ảnh hưởng tiêu cực của lưu huỳnh đến môi trường và sức khỏe con người

Đối với sinh vật dưới nước
Nếu nguồn nước bị nhiễm lưu huỳnh công nghiệp thì sẽ gây nguy hiểm nghiêm trọng cho các loài sinh vật, vi sinh vật như tôm, cua, cá, sò, ngao,.. có thể khiến chúng chết vì ngộ độc.
Nguy hiểm hơn nếu con người ăn phải các loại sinh vật bị nhiễm lưu huỳnh này bởi nguy cơ nhiễm độc gián tiếp là rất cao.
Đối với sức khỏe con người

Sulfua hiđrô rất độc (nó độc hơn nhiều so với xyanua). Mặc dù ban đầu nó có mùi, nhưng nó lại nhanh chóng bị mất cảm giác mùi.
Vì vậy, các nạn nhân có thể không biết đến sự hiện diện của nó cho đến khi quá muộn.
Điôxit lưu huỳnh là một chất khá an toàn dùng để làm chất phụ gia thực phẩm với một lượng nhỏ cho phép.
Tuy vậy, chúng sẽ trở nên nguy hiểm nếu sử dụng ở nồng độ cao.
Chúng sẽ phản ứng với hơi ẩm để tạo ra axit sunfuro, chất này vô cùng nguy hiểm, dễ gây tổn thương cho mắt, phổi và các cơ quan khác.
Lưu huỳnh là nguyên nhân gây ô nhiễm môi trường

Hydrogen sulfide (H2S) là một loại khí được tạo ra do sự phân hủy các chất hữu cơ như thực vật.
Đây là một trong những nguyên nhân chính gây ô nhiễm nguồn nước, chất này thường được tìm thấy trong nước giếng khoan.
Thêm vào đó, trong nguồn nước thường xuất hiện dạng khác của lưu huỳnh là sulfua và bisulfide.
Nước máy nếu chứa hàm lượng H2S thấp, khoảng 1,0 PPM thì có đặc tính ăn mòn, làm xỉn màu các đồ dùng bằng bạc hay đồng, khiến các quần áo và đồ gốm có vết đen.
Đây còn là một trong những loại khí độc thường được tìm thấy trong nhiều môi trường làm việc, và thậm chí ở nồng độ thấp nó cũng độc.
Ngoài ra, khi đốt lưu huỳnh ở nhiệt độ cao sẽ gây ô nhiễm không khí, ảnh hưởng nghiêm trọng tới môi trường như biến đổi khí hậu, mưa axit và hiệu ứng nhà kính.

Lưu ý khi sử dụng lưu huỳnh và cách lưu trữ, bảo quản
Vì tính chất độc hại của lưu huỳnh, khi sử dụng chúng, bạn cần lưu ý những yếu tố sau để tránh gây ra những tác hại trực tiếp với sức khỏe cũng như môi trường sống.
Lưu ý khi sử dụng lưu huỳnh
Đối với các hợp chất của lưu huỳnh, cần cẩn thận khi tiếp xúc với các hợp chất này (chẳng hạn carbon disulfide, carbonyl sulfide, hydro sulfide và lưu huỳnh dioxide).
Khi sử dụng thuốc lưu huỳnh, cần chú ý tới liều lượng dùng thuốc chứa lưu huỳnh, thời gian sử dụng, hướng dẫn sử dụng và nghe theo chỉ định của bác sĩ chuyên môn.

Lưu trữ và bảo quản lưu huỳnh
Đối với hóa chất lưu huỳnh, cần bảo quản nơi khô ráo, thoáng mát, tránh ánh nắng mặt trời trực tiếp chiếu vào.
Đối với thuốc lưu huỳnh, cần bảo quản ở nhiệt độ phòng, tránh nơi ẩm ướt và tránh ánh nắng mặt trời. Nghiêm cấm không bảo quản lưu huỳnh trong phòng tắm hoặc ngăn đá. Với thuốc lưu huỳnh đã hết hạn sử dụng, đừng tự ý vứt thuốc vào toilet hoặc đường ống dẫn nước. Cần tham khảo ý kiến của dược sĩ hoặc công ty xử lý rác thải địa phương để có cách tiêu hủy thuốc an toàn.
Những hợp chất phổ biến của lưu huỳnh

Trong phần này, chúng ta cùng tìm hiểu những hợp chất phổ biến của lưu huỳnh và đồng vị của nó.
Sulfua Hydro
Hợp chất chính của lưu huỳnh là Sunfua Hydro và có mùi trứng thối đặc trưng.
Khi hoà tan vào nước, hợp chất này có tính axit và phản ứng với nhiều kim loại để tạo ra các sunfua kim loại.
Những sunfua kim loại này rất phổ biến, đặc biệt là của sắt (còn được gọi là pyrit).
Êtyl và mêtyl mecaptan
Hợp chất khác của lưu huỳnh, tương tự như êtyl và mêtyl mecaptan, có mùi khó ngửi, được sử dụng làm chất tạo mùi cho khí đốt nhằm phát hiện rò rỉ.

Nitrua lưu huỳnh polyme hóa
Được tạo ra từ têtranitrua têtra lưu huỳnh S4N4 – một trong những hợp chất có tính chất của kim loại, mặc dù nó không chứa bất kỳ nguyên tử kim loại nào.
Chúng có các tính chất quang học và điện bất thường, polyme này có thể tạo ra từ têtranitrua têtra lưu huỳnh S4N4.
Bên cạnh đó, một số hợp chất quan trọng khác của lưu huỳnh có thể kể đến bao gồm:
Các hợp chất vô cơ
Sulfua (S2-)
Sulfit (SO32-), các muối của axit sulfurơ, H2SO3, axít sulfurơ và các sulfit tương ứng, ion pyrosulfit, mêtabisulfit (S2O52-).
Sulfat (SO42-) và các muối của axit sulfuric.
Thiôsulfat (đôi khi được gọi là thiôsulfit hay “hyposulfit”) (S2O32-)– như thiôsulfat natri.
Đithiônit natri, Na2S2O4 được tạo ra từ axít hyposulfurơ/đithiônơ.
Đithiônat natri (Na2S2O6)
Axit polythiônic (H2SnO6)
Axít perôxymônôsulfuric (H2SO5) và axít perôxyđisulfuric (H2S2O8)–
Polisulfura natri (Na2S)
Hexaflorua lưu huỳnh, SF6
Têtranitrua têtra lưu huỳnh S4N4

Các hợp chất hữu cơ
Đimêtyl sulfôniôprôpiônat (DMSP; (CH3)2S+CH2CH2COO–)
Thiol (hay mecaptan)
Thiolat
Sulfôxít
Sulfon
Thuốc thử Lawesson
Naptalen-1,8-điyl 1,3,2,4-đithiađiphốtphetan 2,4-đisulfua
Đồng vị của lưu huỳnh
Lưu huỳnh có tất cả 18 đồng vị trong đó có 4 đồng vị ổn định: S32 (95,02%), S33 (0,75%), S34 (4,21%) và S36 (0,02%).

Bài tập về lưu huỳnh trong SGK Hóa học lớp 10 kèm lời giải
Dưới đây là những bài tập về lưu huỳnh trong SGK Hóa lớp 10 được trình bày chi tiết, dễ hiểu nhất, giúp bạn hiểu rõ hơn về lưu huỳnh và những tính chất đặc trưng của nó.
Bài tập 1 Hoá lớp 10 SGK trang 132
Lưu huỳnh tác dụng với axit sunfuric đặc, nóng:
S + 2H2SO4 → 3SO2 + 2H2O
Trong phản ứng này, tỉ lệ số nguyên tử lưu huỳnh bị khử : Số nguyên tử lưu huỳnh bị oxi hóa là:
A. 1 : 2
B. 1 : 3
C. 3 : 1
D. 2 : 1
Chọn đáp án đúng.
Đáp án đúng: D
Cách giải:
S là chất khử (chất bị oxi hóa) ⇒ Số nguyên tử S bị oxi hóa bằng 1
H2SO4 là chất oxi hóa (chất bị khử) ⇒ Số nguyên tử S bị khử bằng 2
⇒ Số nguyên tử S bị khử : Số nguyên tử S bị oxi hóa theo tỉ lệ là 2:1
Bài tập 2 Hoá lớp 10 SGK trang 132
Dãy đơn chất nào sau đây vừa có tính oxi hóa vừa có tính khử?
A. Cl2 , O3, S
B. S, Cl2, Br2
C. Na, F2, S
D. Br2, O2, Ca
Đáp án đúng: B
Bài tập 3 Hoá lớp 10 SGK trang 132
Có thể dự đoán sự thay đổi như thế nào về khối lượng riêng, về nhiệt độ nóng chảy khi giữ lưu huỳnh đơn tà (SB) dài ngày ở nhiệt độ phòng?
Cách giải:
Ở điều kiện nhiệt độ phòng, có sự chuyển hóa từ Sβ → Sα vậy khi giữ Sβ vài ngày ở nhiệt độ phòng thì:
Khối lượng riêng của lưu huỳnh sẽ tăng dần.
Nhiệt độ nóng chảy của lưu huỳnh sẽ giảm dần.
Bài tập 4 Hoá lớp 10 SGK trang 132
Đun nóng một hỗn hợp gồm có 0,650g bột kẽm và 0,224g bột lưu huỳnh trong ống nghiệm đậy kín không có không khí. Sau phản ứng, người ta thu được chất nào trong ống nghiệm? Khối lượng là bao nhiêu?
Cách giải:
nZn = 0,65/65 = 0,01mol
ns = 0,224/32 = 0,007 mol
⇒ S phản ứng hết, Zn phản ứng dư.
Phương trình phản ứng hóa học:
Zn + S → ZnS (nhiệt độ)
nZn phản ứng = 0,007 mol ⇒ nZnS = 0,007 mol
Khối lượng các chất còn lại sau phản ứng là:
mZn dư = (0,01 – 0,007) × 65 = 0,195g
mZnS = 0,007 × 97 = 0,679g
Bài tập 5 Hoá lớp 10 SGK trang 132
Cho 10g hỗn hợp bột sắt và bột nhôm tác dụng vừa đủ với 1,28g bột lưu huỳnh.
a) Viết các phương trình hóa học của phản ứng xảy ra.
b) Tính tỉ lệ phần trăm của sắt và nhôm trong hỗn hợp ban đầu, theo:
Lượng chất.
Khối lượng chất.
Cách giải:
a) Phương trình phản ứng hóa học:
Fe + S → FeS
2Al + 3S → Al2S3
b) Giả sử nFe = x mol, theo PT ⇒ nS (1) = nFe = x mol
Giả sử nAl = y mol, theo PT ⇒ nS (2) = (3/2)× nAl = (3/2)× y mol
⇒ nS = x + (3/2)× y = 0,04 mol
mhh = 56x + 27y = 1,1
Giải hệ phương trình ta được x = 0,01 mol, y = 0,02 mol
Tỉ lệ % sắt và nhôm trong hỗn hợp theo lượng chất (theo số mol) là:
%nFe = x/(x+y)× 100% = 30%
%nAl = 70%
Tỉ lệ phần trăm của sắt và nhôm trong hỗn hợp theo khối lượng chất là:
mAl = 0,02 x 27 = 0,54g
mFe = 0,01 x 56 = 0,56g
%mAl = (0.54/11)× 100% = 49,09%
%mFe = 100% – 49,09% = 50,91%
Bài viết trên đã giúp bạn hiểu rõ ký hiệu S là gì trong Hóa học. Hy vọng bài viết này sẽ giúp ích bạn trong quá trình học tập và phát triển bản thân.
Xem thêm các bài viết của mình để có thêm nhiều thông tin về những nguyên tố Hóa học thú vị khác nhé!

